跳到主要內容區塊
清張照自書詩 冊

Poetry

法書

(第一則)妙旨毋須玉版拈。清安真賞付蘇髯。若非風露三秋飽。爭得中邊一味甜。便下盧家篩過米。不加馬叟醬和塩。童兒也識真機用。旋拾柴枝溉釜鬵。(第二則)浩浩京都大道旁。終年一室住空王。又看煙甲經霜老。忘却風花照日香。半杓祇從家圃取。三斤任共世人嘗。笑他溪水流殘葉。賺煞閑僧問法忙。謝寬上人餉菘。(第三則)屠門大嚼聊快意。莫道未真嚌其胔。朵頤嚙合置腹中。以肉裹肉竟何謂。髑髏不屑南面王。取一捨一非其至。人生憂樂何其多。樂樂憂憂隨所值。譬如晝僕而宵君。畢竟以何為夢寐。春風花開秋月明。耳目共食奚有二。忻厭兩般入識田。幻出萬端情與偽。迷來迴換悟來空。皆同壯士詘信臂。了知心境兩交蘆。此蘆倒却彼蘆廢。君何蘄樂在來生。且樂今生真樂事。馬絅章畫一壯夫叱牛。兩翁媼扶杖觀之。命曰來生行樂圖。索題。偈以醒之。(第四則)漫誇貝闕海東雲。親見沖霄五色文。才覩片鱗齊色變。方知不是豢龍君。(第五則)良工心苦千秋事。老眼無花一日曾。眩轉驪珠光不極。縕真閣上墨池燈。晴嵐得香光真跡一冊。見者輒譁笑晴嵐益自喜詩以調之。(第六則)春風散入千山村。伶俜仙袂棲愁魂。空巖無人香白晝。清溪有約影黃昏。和靖先生放鶴處。老人卜築因為園。淒清欲分風駕善。窈窕如接玉聲溫。抱心莊胥僵夕雪。翻枝童雀喧朝暾。嗟余塵土三十載。曰歸無路勞倚門。賣花擔上偶然見。泪下如綆不能言。天高風烈帝城臘。獨坐難舉消寒尊。(第七則)鐵心老子臥荒村。嚼雪咽月鍊玉魂。膏粱須要氷蘗戰。延之上座相朝昏。管子墨君迭介紹。更開尺宅為之園。練裙縞袂肅然下。一室光明香且溫。相於才一彈指頃。萬重朦景豁朝暾。非花非我亦非畫。三相類者不二門。摩詰天女舍利弗。到此了皆無一言。桃花年年作飯喫。何如對此開清尊。題晴嵐梅華。用東坡松風亭原韻。(第八則)去年正月之十六。卿視我于大理獄。今年此日卿在家。我尚滯跡天之涯。空花三界如卷煙。交臂失之況隔年。前烟甫斷後烟逼。雙手捉煙不可得。山河大地一纖塵。一纖塵裡兩人身。彊分千里復百里。智者不直一笑耳。自從相識為兄弟。落拓癡騃實臭味。奚須樊姥與劉綱。何必紫金嫁飲光。八還還處常相見。不是東飛伯勞西飛燕。丁巳正月十六日寄內。(第九則)虎子方八歲。舉石大扵身。見者紛駭汗。聞者謂非真。斯豈可理測。無乃疑扵神。虎子試靜聽。吾聞諸先民。心如椰子大。萬卷可列陳。實者虛所持。什伯不同倫。原其故則一。襃益由天鈞。所以文殊言。神通本宿因。瞿曇昔年少。投象越城闉。唯不自奇特。千載稱能仁。力固縱自天。慎勿恃陵人。勉哉修其業。為國之虎臣。題虎子圖。隨意書近作數首寄似。昔人詩云。再休落拓貪杯酒。莫更猖狂愛詠詩。今日捉將官裡去。這回斷送老頭皮。我之取嫉于世。不緣詩酒。清吟儻亦無礙耶。呵呵。得天居士。

文物統一編號 故書000672N000000000
作品號 故書00067200000
品名 清張照自書詩 冊
Poetry
分類 法書
作者 張照,Zhang Zhao
書體 行書
數量 一冊:十五開(本幅十五開十五幅)
作品語文 漢文
釋文 (第一則)妙旨毋須玉版拈。清安真賞付蘇髯。若非風露三秋飽。爭得中邊一味甜。便下盧家篩過米。不加馬叟醬和塩。童兒也識真機用。旋拾柴枝溉釜鬵。(第二則)浩浩京都大道旁。終年一室住空王。又看煙甲經霜老。忘却風花照日香。半杓祇從家圃取。三斤任共世人嘗。笑他溪水流殘葉。賺煞閑僧問法忙。謝寬上人餉菘。(第三則)屠門大嚼聊快意。莫道未真嚌其胔。朵頤嚙合置腹中。以肉裹肉竟何謂。髑髏不屑南面王。取一捨一非其至。人生憂樂何其多。樂樂憂憂隨所值。譬如晝僕而宵君。畢竟以何為夢寐。春風花開秋月明。耳目共食奚有二。忻厭兩般入識田。幻出萬端情與偽。迷來迴換悟來空。皆同壯士詘信臂。了知心境兩交蘆。此蘆倒却彼蘆廢。君何蘄樂在來生。且樂今生真樂事。馬絅章畫一壯夫叱牛。兩翁媼扶杖觀之。命曰來生行樂圖。索題。偈以醒之。(第四則)漫誇貝闕海東雲。親見沖霄五色文。才覩片鱗齊色變。方知不是豢龍君。(第五則)良工心苦千秋事。老眼無花一日曾。眩轉驪珠光不極。縕真閣上墨池燈。晴嵐得香光真跡一冊。見者輒譁笑晴嵐益自喜詩以調之。(第六則)春風散入千山村。伶俜仙袂棲愁魂。空巖無人香白晝。清溪有約影黃昏。和靖先生放鶴處。老人卜築因為園。淒清欲分風駕善。窈窕如接玉聲溫。抱心莊胥僵夕雪。翻枝童雀喧朝暾。嗟余塵土三十載。曰歸無路勞倚門。賣花擔上偶然見。泪下如綆不能言。天高風烈帝城臘。獨坐難舉消寒尊。(第七則)鐵心老子臥荒村。嚼雪咽月鍊玉魂。膏粱須要氷蘗戰。延之上座相朝昏。管子墨君迭介紹。更開尺宅為之園。練裙縞袂肅然下。一室光明香且溫。相於才一彈指頃。萬重朦景豁朝暾。非花非我亦非畫。三相類者不二門。摩詰天女舍利弗。到此了皆無一言。桃花年年作飯喫。何如對此開清尊。題晴嵐梅華。用東坡松風亭原韻。(第八則)去年正月之十六。卿視我于大理獄。今年此日卿在家。我尚滯跡天之涯。空花三界如卷煙。交臂失之況隔年。前烟甫斷後烟逼。雙手捉煙不可得。山河大地一纖塵。一纖塵裡兩人身。彊分千里復百里。智者不直一笑耳。自從相識為兄弟。落拓癡騃實臭味。奚須樊姥與劉綱。何必紫金嫁飲光。八還還處常相見。不是東飛伯勞西飛燕。丁巳正月十六日寄內。(第九則)虎子方八歲。舉石大扵身。見者紛駭汗。聞者謂非真。斯豈可理測。無乃疑扵神。虎子試靜聽。吾聞諸先民。心如椰子大。萬卷可列陳。實者虛所持。什伯不同倫。原其故則一。襃益由天鈞。所以文殊言。神通本宿因。瞿曇昔年少。投象越城闉。唯不自奇特。千載稱能仁。力固縱自天。慎勿恃陵人。勉哉修其業。為國之虎臣。題虎子圖。隨意書近作數首寄似。昔人詩云。再休落拓貪杯酒。莫更猖狂愛詠詩。今日捉將官裡去。這回斷送老頭皮。我之取嫉于世。不緣詩酒。清吟儻亦無礙耶。呵呵。得天居士。
位置 尺寸(公分)
本幅 24x11.9
質地位置 質地
本幅
題跋類別 作者 位置 款識 書體 全文
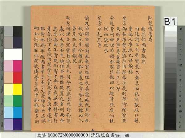
題跋 董誥 印記 expand_more 本幅十四、十五 乾隆六十一年丙辰(西元一七九六年)小春月。臣董誥奉敕敬書。 楷書 御製懷舊詩。故刑部尚書張照。内廷詞臣之歷資最久者。莫如張照。張照。江蘇婁縣人。康熙己丑翰林。皇考御極。擢贊善洊(同「薦」)。陟内閣學士。遷刑部侍郎。管順天府尹事。尋晉尚書。雍正乙卯。命赴貴州。經理苗疆。余嗣位。撤回。以總督張廣泗往代。初張照承皇考命赴黔。曾諭及苗疆事。鄂爾泰或有經理未善處。照既至。即札致哈元生。令搜求鄂爾泰之事。哈元生據以入告。是照未能領畧聖意。辦理失宜。實自取戾也。因命罷職治罪。時鄂爾泰以大學士充總理事務。因欲置之重刑。而余悉其委曲不肯。既而宥之。命在武英殿修書行走。乾隆丁已。授内閣學士。入直南書房。庚申遷刑部侍郎。踰年擢尚書。甲子冬。丁父憂歸。卒於途。賜卹如例。張照性穎敏。博學多識。中和韶樂。多所釐定。文筆亦儁逸拔俗。尤工書。臨橅各臻其妙。字無大小。皆有精神貫注。閱時雖久。每展對筆墨如新。余嘗謂張照。書過於董其昌。非虛譽也。書有米之雄。而無米之略。復有董之整。而無董之弱。羲之後一人。舍照誰能若。即今觀其蹟。宛似成於昨。精神貫注。深非人所可學。三朝直内廷。受恩早且渥。(小字。叶)其詩喜談禪。學蘇(小字。謂東坡)太相(小字。去聲)著。以苗疆獲罪。意實別有託。(小字。張照既未能體皇考聖意妥辦苗疆。而先以尋鄂爾泰之釁為急。原應治重罪。然其事之始末。適以奉諭同理苗疆。故知之最悉。而不肯抵彼以罪。照應如何感激朕恩。而彼乃私有怨言。竟謂朕受鄂爾泰蒙蔽。抵彼以罪。若朕果受鄂爾泰蒙蔽。則照早不保首領矣。尚有後日之為尚書耶。然事已過。亦不追治其罪。恐疑案滋後世之議。故明敘而注之)平苗事既久。復用仍遷擢。性敏才本高。未免失行薄。使其生前明。標榜必致錯。本朝無所施。小哉張與鄂。(小字。鄂爾泰。張廷玉。素不相得。兩家亦各有私人。但我朝綱紀肅清。不能如明季門戶黨援之盛。盖照即張所喜而鄂所惡者。張廣泗即鄂所喜而張所惡者。余非不知。既不使一成一敗。亦不使兩敗俱傷。在余心固自有權衡。而鄂與張兩皆成就為賢臣。不亦善乎)。乾隆六十一年丙辰(西元一七九六年)小春月。臣董誥奉敕敬書。
印主 印記
董誥
董誥
封面 楷書 張照自書詩。
印記類別 印主 印記
作者印記 張照 張照
作者印記 張照 得天
鑑藏寶璽 清內府印 三希堂精鑑璽
鑑藏寶璽 清高宗 太上皇帝
鑑藏寶璽 清高宗 石渠定鑑
鑑藏寶璽 清內府印 石渠寶笈
鑑藏寶璽 清內府印 宜子孫
鑑藏寶璽 宣統帝 宣統御覽之寶
鑑藏寶璽 清高宗 乾隆御覽之寶
鑑藏寶璽 清高宗 乾隆鑑賞
鑑藏寶璽 清高宗 寧壽宮續入石渠寶笈
鑑藏寶璽 清高宗 樂壽堂鑑藏寶
鑑藏寶璽 清高宗 寶笈重編
類別 參考資料
收藏著錄 石渠寶笈續編(寧壽宮),第五冊,頁2908-2910
收藏著錄 故宮書畫錄(卷八),第四冊,頁19
抽盤點紀錄 修護紀錄