清俞樾隸書 軸
Clerical Script
法書
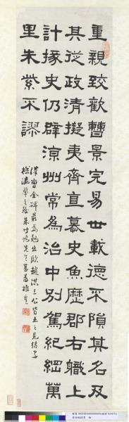
重親致歡曹景完。易世載德。不隕其名。及其從政。清擬夷齊。直慕史魚歷郡右職。上計掾史。仍辟涼州。常為治中。別駕紀綱萬里。朱紫不謬。(隸書)。漢曹全碑最為晚出。歐趙洪三公皆未之見。結字極流麗之致。朱竹垞先生甚為推重。(行書)。
| 文物統一編號 | 贈書000388N000000000 |
| 作品號 | 贈書00038800000 |
| 品名 |
清俞樾隸書 軸 Clerical Script |
| 分類 | 法書 |
| 作者 | 俞樾,Yu Yue |
| 書體 | 隸書 |
| 數量 | 一軸 |
| 作品語文 | 漢文 |
| 釋文 | 重親致歡曹景完。易世載德。不隕其名。及其從政。清擬夷齊。直慕史魚歷郡右職。上計掾史。仍辟涼州。常為治中。別駕紀綱萬里。朱紫不謬。(隸書)。漢曹全碑最為晚出。歐趙洪三公皆未之見。結字極流麗之致。朱竹垞先生甚為推重。(行書)。 |
| 位置 | 尺寸(公分) |
|---|---|
| 本幅 | 134x32 |
| 全幅 | 199.4x45 |
| 質地位置 | 質地 |
|---|---|
| 本幅 | 紙 |
| 印記類別 | 印主 | 印記 |
|---|---|---|
| 收傳印記 | 蔡辰男 | 辰園寶藏 |
| 作者印記 | 俞樾 | 先皇天許寫作俱佳 |
| 作者印記 | 俞樾 | 曲園居士 |
| 作者印記 | 俞樾 | 俞樾私印 |
| 類別 | 參考資料 |
|---|---|
| 內容簡介 | 俞樾(西元一八二一-一九0六年),浙江德清人。字蔭甫,號曲園居士。道光三十年(一八五0年)進士,官編修。博學工詩文,著有《俞氏叢書》。精通書法,以篆書和隸書的筆法來寫楷書,別具一格。 此幅書蹟以中鋒寫成,結體端莊,法度謹嚴,波磔分明,線條起伏富有節奏感,在穩健的書風中,展現秀逸風韻。本幅為蔡辰男先生捐贈。 (20110913) |
| Description | Yu Yue (style name Yunfu, sobriquet Quyuan), a native of Deqing in Zhejiang, received his Presented Scholar civil service degree in 1847 and became a Compiler. In 1855 he assumed the post of Education Commissioner of Hunan. Two years later, however, he was removed from office and took up writing and teaching, becoming a great scholar and instructor. Yu excelled in calligraphy, particularly seal and clerical script, which he said he usually used when writing letters. The work here is a partial copy of the Eastern Han “Cao Quan Stele.” Yu has captured the original beauty of the stele’s elegant characters, but his brushwork appears calm, steady, and forceful--imbued with a simpler, heavier feel compared to the original. This work was donated to the National Palace Museum by Mr. Ts’ai Ch’en-nan. (20110913) |
| 收藏著錄 | 蔡辰男先生捐贈書畫目錄,頁13、118 |